1978 Exterior | Another version of 1978 Exterior |
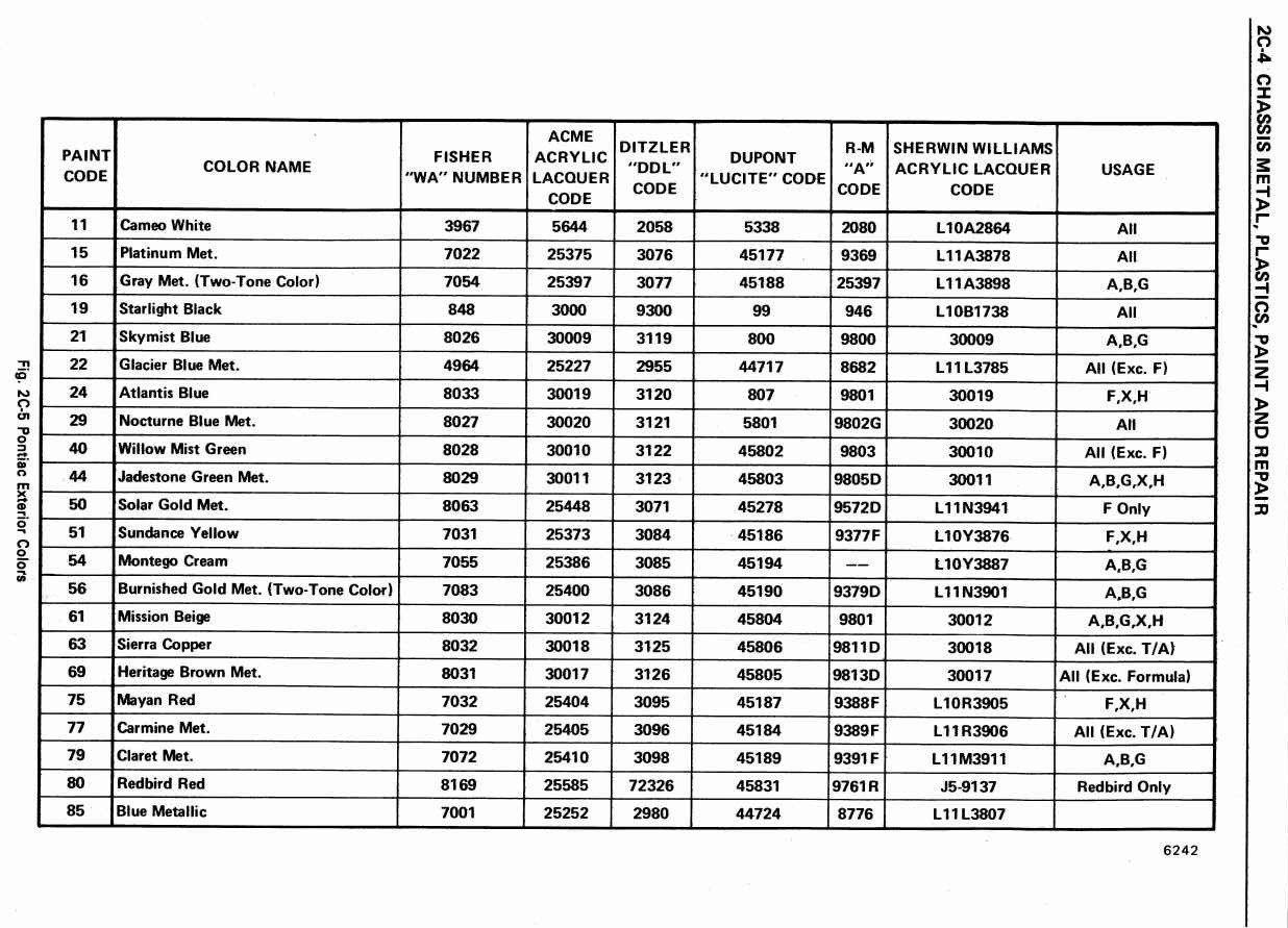
1978 Paint Code Update for PPG |
1978 Interior |
1979 Exterior | Another version of 1979 Exterior |
1979 Interior |
| FLAT (SUEDE) COLORS | |
| USED ON: | Upper Instrument Panel, Radio Speaker Grille, Glove Box Door, Package Shelf and Valance, Rear Window Defogger Grille. |
| SEMI GLOSS COLORS | |
| USED ON: | Garnish Molding, Roof Rails, Windshield Pillars, Steering Column Jackets, Floor Console. |
1979 Redbird Stripe Placement
(there are no instructions for 78 Skybirds or Redbirds)
Bird decals are being produced by both
Stencils and Stripes and Phoenix Graphix
Illustration |
Parts List |
1979, Joe's |
1979, from Junkyard |
1979, from Walt Amante |
1979, from David Fillinger |
1978, from Ron Wilson Check out the written note on this sheet. |
1979, from Cynthia Unger |
Visit: David Fillinger's Redbird Page
1979, Joe's![]() |
Transcription of a tagST 78 2FS87 L 190226 BDYTR 74B A51W 72LW72U PT 04C C-8 146851 From Aero Appraisals, showing the Roman Red code in 1978 | Transcription of a tagVIN #: 2T87L8L177XXXST 78 2FS87 L 246889 BDY
From Phil Restivo, also Roman Red |
From Ron Wilson's 78![]() |